1. Jaringan Syaraf Tiruan [Kembali]
A. Pengertian
Secara sederhana, jaringan syaraf tiruan merupakan salah satu metode dari sebuah kecerdasan buatan yang dirancang pada program sehingga program dapat digunakan untuk memperkirakan output dari pola-pola yang telah dilatih oleh program. JST biasa digunakan untuk memiliah (klasifikasi), membuat prediksi dll. Metode ini meniru cara kerja sistem jaringan syaraf sesungguhnya pada manusia. Sehingga metode ini disebut sebagai Jaringan Syaraf TIruan (JST).
JST mengetahui pola tertentu dari sistem yang telah dibentuk. Terdapat dua jenis pola pembelajaran yang dikenal dengan Supervised Learning dan Unsupervised Learning. Supervised Learning merupakan cara yang bisa kita pakai ketika kita melabelkan bahan ajar secara langsung kepada program. Sehingga program langsung mengetahui jawaban yang benar. Sedangakan Unsupervised Learning merupakan cara yang digunakan pada program sehingga program mengklasifikasikan berdasarkan apa yang didapatkan tanpa mengetahui nilai kebenarannya.
JST meniru cara kerja dari sistem jaringan syaraf yang sesungguhnya pada manusia. Berikut merupakan ilustrasi bagaimana hubungan antara JST dengan jaringan syaraf manusia
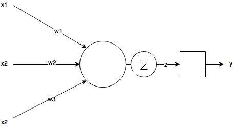
z = ∑ w×xy = sigmoid(z)w = weightsx = inputs
JST pada dasarnya terdapat 3 komponen. Komponen tersebut berupa Input, Output dan Hidden layer. Di dalam Hidden Layer kita dapat mengubah susunan dari pola-pola pembelajaran yang diinginkan yang biasa dikenal dengan istilah Arsitektur Jaringan. Arsitektur dari hidden layer akan mempengaruhi kinerja dari JST tersebut.
Pada JST juga dikenal fungsi aktivasi, bobot dan bias. Bobot dan bias ini lah yang dicari oleh program bedasarkan nilai input dan output yang diberikan. Sehingga jika diberikan data uji program dapat mengenali pola tersebut dan memberi keluaran yang sesuai.
Secara sederhana cara kerja dari JST adalah nilai input dikalikan dengan bobotnya lalu dijumlahkan dengan nilai bias lalu kategorikan output berdasarkan activation function. Terdapat banyak jenis activation function yang dapat digunakan yang dapat memengaruhi hasil JST.
Pada JST dikenal juga pembelajaran maju ( Forward Pass) dan pembelajaran mundur (Backward Pass). Ini hanya sebuah sistem pembelajaran yang tersedia dan dapat dilihat seperti pada ilustrasi berikut
2. Klasifikasi Orang Berdasarkan Tinggi dan Berat[kembali]
- Buat terlebih dahulu sebuah file (boleh .txt, .xlx dll) yang tersimpan di folder yang sama dengan program yang akan dibuat. File ini berisi data dengan urutan kolom tinggi badan-berat badan-kategori. Data boleh acak. Program ini dioperasikan dengan software Matlab 2019b dengan file excel yang di dalamnya telah terdapat 20 data latih yang dibuat secara acak (tanpa survey data terlebih dahulu) dengan harapan progarm dapat mengklasifikasikan umur data uji pada 4 kategori yang nanti akan dikelompokkan rentang umur dengan kategori 1(10-12 tahun), 2 (13-15 tahun), 3 (16-18 tahun) dan 4 (18-21 tahun).
- Buat sebuah jendela program baru yang dinamakan "ProgramMasukkanData.m"
pada command window: ketik dan enter
"clear"
"data = 0"
Program di atas membersihkan workspace dan membuat sebuah variable data yang nilai awalnya 0. Copy lalu paste data yang pada excel sebelumnya kepada variabel data - Kita buat variabel baru yang dapat menampung data input dan target/output dari variable data. Hasil dari proses ini adalah terdapat sebuah file bernama datajstbelajar1.
- Kemudian buat file matlab baru yang digunakan untuk melatih dan menguji data tersebut. Pastikan file yang akan dibuka namanya sama dengan datajstbelajar1. Pada program ini kita akan inisialisasi semua kebutuhan. Program ini akan menjalankan
feedforward network (newff)
5 hidden layer
1 output layer
fungsi aktivasi logsig, purelin dan trainml
iterasi sebanyak 20x perulangan(epoch)
minimal error yang diizinkan 1e-20(mean square error (MSE))
- Program ini menampung hasil bobot dan bias yang didapatkan dari data yang akan dilatih dan menyimpannya pada datajsttrainRGB5
- Ketika program tadi dijalankan maka akan muncul tampilan seperti berikut
- Hasil
https://towardsdatascience.com/introducing-deep-learning-and-neural-networks-deep-learning-for-rookies-1-bd68f9cf5883
https://towardsdatascience.com/introduction-to-neural-networks-ead8ec1dc4dd
https://towardsdatascience.com/understanding-neural-networks-19020b758230
5. Link Download [kembali]






Tidak ada komentar:
Posting Komentar