The Cognitron and The Neo Cognitron





10.1 Background of the Cognitron [Kembali]
Cognitron merupakan network yang didesain dengan pengenalan pola. Perancanga pertamanya adalah Fukushima pada tahun 1975.

10.2 The Basic Principles of the Cognitron [kembali]
Cognitron pada dasarnya terdiri dari lapirsan neuron penghambat dan rangsang. Interkoneksi suatu neuron pada lapisan tertentu hanya untuk neuron dari lapisan sebelumnya yang berada di sekitra neuron itu. Untuk efisiensi pelatihan, tidak semua neuron dilatih dan hanya yang relevan berupa neuron sebelumnya yang telah dilatih untuk tugas tersebut.

10.3 Network Operation [kembali] 
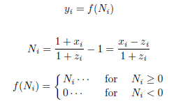
a) Excitory Neurons
Outputnya adalah sebagai berikut :

 untuk z yang kecil dan z yang sangat besar




b) Inhibitory Neurons
Outputnya adalah

                                                         
10.4 Cognitron's Network Training  [kembali] 
Berikut merupakan skema pelatihannya:


a) Initialization
Perlu diingat bahwa semua bobot nilai awalnya adalah 0 dan tidak ada neuron yang aktif. 

b)Lateral Inhibition



10.5 Cognitron's Network Training [kembali]
Cognitron yang lebih baik dipaparkan juga oleh Fukushima (1983) yaitu Neocognitron. Ini merupakan hirarki pada alam. Karena algoritmanya sangat kompleks, pada buku ini tidak dijelaskan.

Tidak ada komentar:

Posting Komentar